看教程不够直观,那就看视频吧! >>点击加载视频
作者:严涛 浙江大学作物遗传育种在读研究生(生物信息学方向)伪码农,R语言爱好者,爱开源
编者按:数据可视化是解析、理解和展示数据不可缺少的一部分。炫或不炫看个人喜好和功底,能否达意是最基本的要求---最合适的图示和配色表达最直观的含义。长文多图预警,这是关于ggplot2使用的极详细教程(190+图),是入门和晋级参考的不二手册。
前面部分是关于qplot的使用,后面是ggplot2图层的使用。原文使用R自带数据集,后面有生信宝典出品的针对生信常见作图的ggplot2使用教程。为完善之际,本文整理了关于可视化套路 (什么图适合做什么), 图形配色 (美观不突兀)和多种在线、本地、编程和界面类绘图工具和脚本供集中学习和收藏使用。
本文内容基本是来源于STHDA,这是一份十分详细的ggplot2使用指南,因此我将其翻译成中文,一是有助于我自己学习理解,另外其他R语言爱好者或者可视化爱好者可以用来学习。翻译过程肯定不能十全十美,各位读者有建议或改进的话,十分欢迎发Email(tyan@zju.edu.cn)给我。
ggplot2是由Hadley Wickham创建的一个十分强大的可视化R包。按照ggplot2的绘图理念,Plot(图)= data(数据集)+ Aesthetics(美学映射)+ Geometry(几何对象):
data: 数据集,主要是data frame;
Aesthetics: 美学映射,比如将变量映射给x,y坐标轴,或者映射给颜色、大小、形状等图形属性;
Geometry: 几何对象,比如柱形图、直方图、散点图、线图、密度图等。
在ggplot2中有两个主要绘图函数:qplot()以及ggplot()。
qplot(): 顾名思义,快速绘图;
ggplot():此函数才是ggplot2的精髓,远比qplot()强大,可以一步步绘制十分复杂的图形。
由ggplot2绘制出来的ggplot图可以作为一个变量,然后由print()显示出来。
根据数据集,ggplot2提供不同的方法绘制图形,主要是为下面几类数据类型提供绘图方法:
一个变量x: 连续或离散
两个变量x&y:连续和(或)离散
连续双变量分布x&y: 都是连续
误差棒
地图
三变量
安装ggplot2提供三种方式:
#直接安装tidyverse,一劳永逸(推荐,数据分析大礼包) install.packages("tidyverse") #直接安装ggplot2 install.packages("ggplot2") #从Github上安装最新的版本,先安装devtools(如果没安装的话) devtools::install_github("tidyverse/ggplot2")加载
library(ggplot2)数据集应该数据框data.frame
本文将使用数据集mtcars。
#load the data set data(mtcars) df <- mtcars[, c("mpg","cyl","wt")] #将cyl转为因子型factor df$cyl <- as.factor(df$cyl) head(df)## mpg cyl wt ## Mazda RX4 21.0 6 2.620 ## Mazda RX4 Wag 21.0 6 2.875 ## Datsun 710 22.8 4 2.320 ## Hornet 4 Drive 21.4 6 3.215 ## Hornet Sportabout 18.7 8 3.440 ## Valiant 18.1 6 3.460qplot()类似于R基本绘图函数plot(),可以快速绘制常见的几种图形:散点图、箱线图、小提琴图、直方图以及密度曲线图。其绘图格式为:
qplot(x, y=NULL, data, geom="auto")其中:
x,y: 根据需要绘制的图形使用;
data:数据集;
geom:几何图形,变量x,y同时指定的话默认为散点图,只指定x的话默认为直方图。
qplot(x=mpg, y=wt, data=df, geom = "point")
也可以添加平滑曲线
qplot(x=mpg, y=wt, data = df, geom = c("point", "smooth"))
还有其他参数可以修改,比如点的形状、大小、颜色等
#将变量cyl映射给颜色和形状 qplot(x=mpg, y=wt, data = df, colour=cyl, shape=cyl)#构造数据集 set.seed(1234) wdata <- data.frame( sex=factor(rep(c("F", "M"), each=200)), weight=c(rnorm(200, 55), rnorm(200, 58)) ) head(wdata)## sex weight ## 1 F 53.79293 ## 2 F 55.27743 ## 3 F 56.08444 ## 4 F 52.65430 ## 5 F 55.42912 ## 6 F 55.50606箱线图
qplot(sex, weight, data = wdata, geom = "boxplot", fill=sex)
小提琴图
qplot(sex, weight, data = wdata, geom = "violin")
点图
qplot(sex, weight, data = wdata, geom = "dotplot", stackdir="center", binaxis="y", dotsize=0.5, color=sex)直方图
qplot(weight, data = wdata, geom = "histogram", fill=sex)
密度图
qplot(weight, data = wdata, geom = "density", color=sex, linetype=sex)上文中的qplot()绘制散点图:
qplot(x=mpg, y=wt, data=df, geom = "point")在ggplot()中完全可以如下实现:
ggplot(data=df, aes(x=mpg, y=wt))+ geom_point()
改变点形状、大小、颜色等属性
ggplot(data=df, aes(x=mpg, y=wt))+geom_point(color="blue", size=2, shape=23)
绘图过程中常常要用到转换(transformation),这时添加图层的另一个方法是用stat_*()函数。
下例中的geom_density()与stat_density()是等价的
ggplot(wdata, aes(x=weight))+geom_density()等价于
ggplot(wdata, aes(x=weight))+stat_density()对于每一种几何图形。ggplot2 基本都提供了 geom()和 stat()
使用数据集wdata,先计算出不同性别的体重平均值
library(plyr) mu <- ddply(wdata, "sex", summarise, grp.mean=mean(weight))先绘制一个图层a,后面逐步添加图层
a <- ggplot(wdata, aes(x=weight))可能添加的图层有:
对于一个连续变量:
面积图geom_area()
密度图geom_density()
点图geom_dotplot()
频率多边图geom_freqpoly()
直方图geom_histogram()
经验累积密度图stat_ecdf()
QQ图stat_qq()
对于一个离散变量:
条形图geom_bar()
a+geom_area(stat = "bin")
改变颜色
a+geom_area(aes(fill=sex), stat = "bin", alpha=0.6)+ theme_classic()注意:y轴默认为变量weight的数量即count,如果y轴要显示密度,可用以下代码:
a+geom_area(aes(y=..density..), stat = "bin")
可以通过修改不同属性如透明度、填充颜色、大小、线型等自定义图形:
使用以下函数:
geom_density():绘制密度图
geom_vline():添加竖直线
scale_color_manual():手动修改颜色
a+geom_density()
根据sex修改颜色,将sex映射给line颜色
a+geom_density(aes(color=sex))
修改填充颜色以及透明度
a+geom_density(aes(fill=sex), alpha=0.4)
添加均值线以及手动修改颜色
a+geom_density(aes(color=sex))+ geom_vline(data=mu, aes(xintercept=grp.mean, color=sex), linetype="dashed")+ scale_color_manual(values = c("red", "blue"))a+geom_dotplot()
将sex映射给颜色
a+geom_dotplot(aes(fill=sex))
手动修改颜色
a+geom_dotplot(aes(fill=sex))+ scale_fill_manual(values=c("#999999", "#E69F00"))a+geom_freqpoly()
y轴显示为密度
a+geom_freqpoly(aes(y=..density..))+ theme_minimal()
修改颜色以及线型
a+geom_freqpoly(aes(color=sex, linetype=sex))+ theme_minimal()a+geom_histogram()
将sex映射给线颜色
a+geom_histogram(aes(color=sex), fill="white", position = "dodge")+theme_classic()a+stat_ecdf()ggplot(data = mtcars, aes(sample=mpg))+stat_qq()#加载数据集 data(mpg) b <- ggplot(mpg, aes(x=fl)) b+geom_bar()
修改填充颜色
b+geom_bar(fill="steelblue", color="black")+theme_classic()使用数据集mtcars, 先创建一个ggplot图层
b <- ggplot(data = mtcars, aes(x=wt, y=mpg))可能添加的图层有:
geom_point():散点图
geom_smooth():平滑线
geom_quantile():分位线
geom_rug():边际地毯线
geom_jitter():避免重叠
geom_text():添加文本注释
b+geom_point()
将变量cyl映射给点的颜色和形状
b + geom_point(aes(color = factor(cyl), shape = factor(cyl)))
自定义颜色
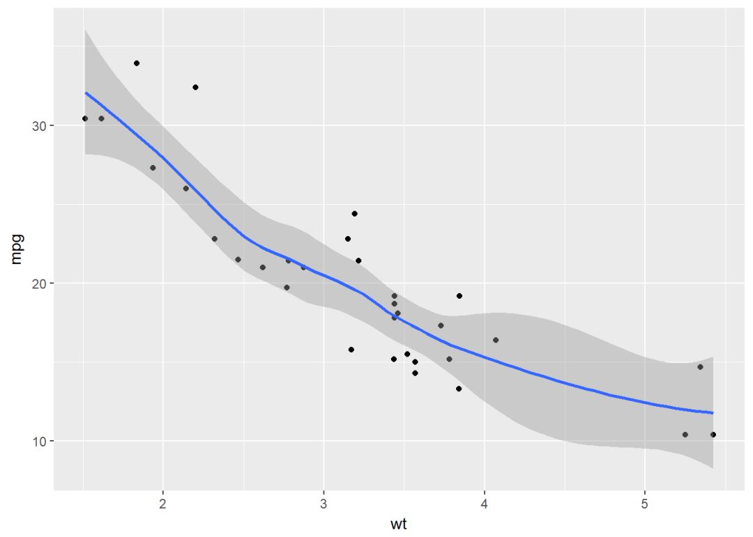
b+geom_point(aes(color=factor(cyl), shape=factor(cyl)))+ scale_color_manual(values=c("#999999", "#E69F00", "#56B4E9"))+theme_classic()可以添加回归曲线
b+geom_smooth()
散点图+回归线
b+geom_point()+ geom_smooth(method = "lm", se=FALSE)#去掉置信区间
使用loess方法
b+geom_point()+ geom_smooth(method = "loess")
将变量映射给颜色和形状
b+geom_point(aes(color=factor(cyl), shape=factor(cyl)))+ geom_smooth(aes(color=factor(cyl), shape=factor(cyl)), method = "lm", se=FALSE, fullrange=TRUE)ggplot(data = mpg, aes(cty, hwy))+ geom_point()+geom_quantile()+ theme_minimal()使用数据集faithful
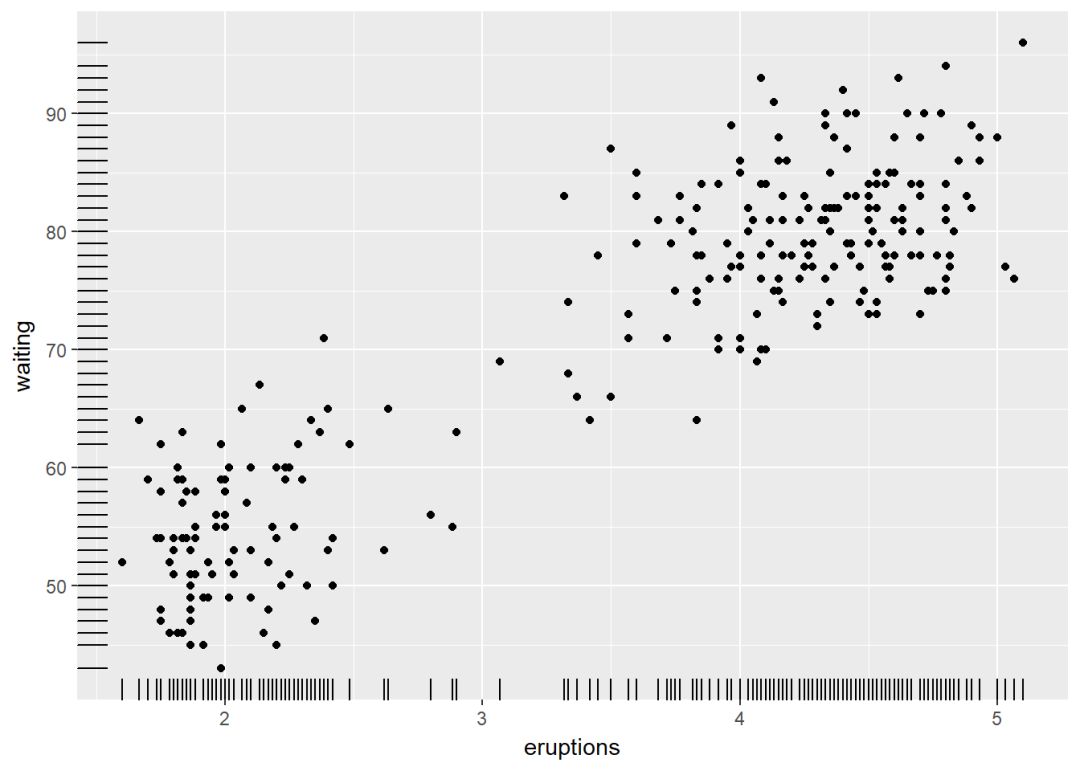
ggplot(data = faithful, aes(x=eruptions, y=waiting))+ geom_point()+geom_rug()实际上geom_jitter()是geom_point(position="jitter")的简称,下面使用数据集mpg
p <- ggplot(data = mpg, aes(displ, hwy)) p+geom_point()
增加抖动防止重叠
p+geom_jitter(width = 0.5, height = 0.5)
其中两个参数:
width:x轴方向的抖动幅度
height:y轴方向的抖动幅度
参数label用来指定注释标签 (ggrepel可以避免标签重叠)
b+geom_text(aes(label=rownames(mtcars)))使用数据集diamonds
head(diamonds[, c("carat", "price")])## # A tibble: 6 x 2 ## carat price ## <dbl> <int> ## 1 0.23 326 ## 2 0.21 326 ## 3 0.23 327 ## 4 0.29 334 ## 5 0.31 335 ## 6 0.24 336创建ggplot图层,后面再逐步添加图层
c <- ggplot(data=diamonds, aes(carat, price))可添加的图层有:
geom_bin2d(): 二维封箱热图
geom_hex(): 六边形封箱图
geom_density_2d(): 二维等高线密度图
geom_bin2d()将点的数量用矩形封装起来,通过颜色深浅来反映点密度
c+geom_bin2d()
设置bin的数量
c+geom_bin2d(bins=150)geom_hex()依赖于另一个R包hexbin,所以没安装的先安装:
install.packages("hexbin")library(hexbin) c+geom_hex()
修改bin的数目
c+geom_hex(bins=10)sp <- ggplot(faithful, aes(x=eruptions, y=waiting)) sp+geom_point()+ geom_density_2d()主要是如何通过线来连接两个变量,使用数据集economics。
head(economics)## # A tibble: 6 x 6 ## date pce pop psavert uempmed unemploy ## <date> <dbl> <int> <dbl> <dbl> <int> ## 1 1967-07-01 507.4 198712 12.5 4.5 2944 ## 2 1967-08-01 510.5 198911 12.5 4.7 2945 ## 3 1967-09-01 516.3 199113 11.7 4.6 2958 ## 4 1967-10-01 512.9 199311 12.5 4.9 3143 ## 5 1967-11-01 518.1 199498 12.5 4.7 3066 ## 6 1967-12-01 525.8 199657 12.1 4.8 3018先创建一个ggplot图层,后面逐步添加图层
d <- ggplot(data = economics, aes(x=date, y=unemploy))可添加的图层有:
geom_area():面积图
geom_line():折线图
geom_step(): 阶梯图
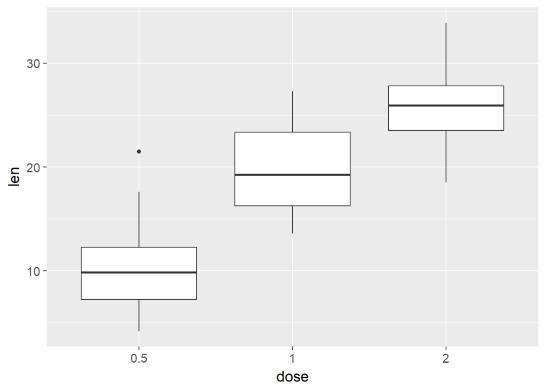
d+geom_area()d+geom_line()set.seed(1111) ss <- economics[sample(1:nrow(economics), 20),] ggplot(ss, aes(x=date, y=unemploy))+ geom_step()使用数据集ToothGrowth,其中的变量len(Tooth length)是连续变量,dose是离散变量。
ToothGrowth$dose <- as.factor(ToothGrowth$dose) head(ToothGrowth)## len supp dose ## 1 4.2 VC 0.5 ## 2 11.5 VC 0.5 ## 3 7.3 VC 0.5 ## 4 5.8 VC 0.5 ## 5 6.4 VC 0.5 ## 6 10.0 VC 0.5创建图层
e <- ggplot(data = ToothGrowth, aes(x=dose, y=len))可添加的图层有:
geom_boxplot(): 箱线图
geom_violin():小提琴图
geom_dotplot():点图
geom_jitter(): 带状图
geom_line(): 线图
geom_bar(): 条形图
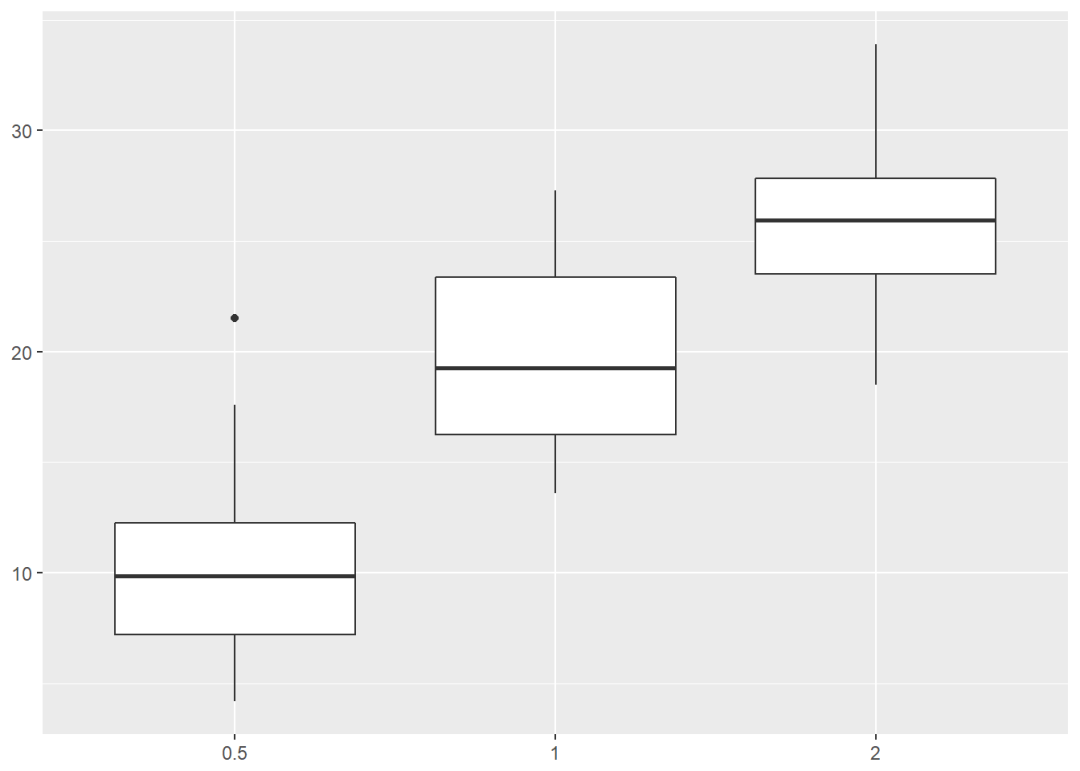
e+geom_boxplot()
添加有缺口的箱线图
e+geom_boxplot(notch = TRUE)
按dose分组映射给颜色
e+geom_boxplot(aes(color=dose))
将dose映射给填充颜色
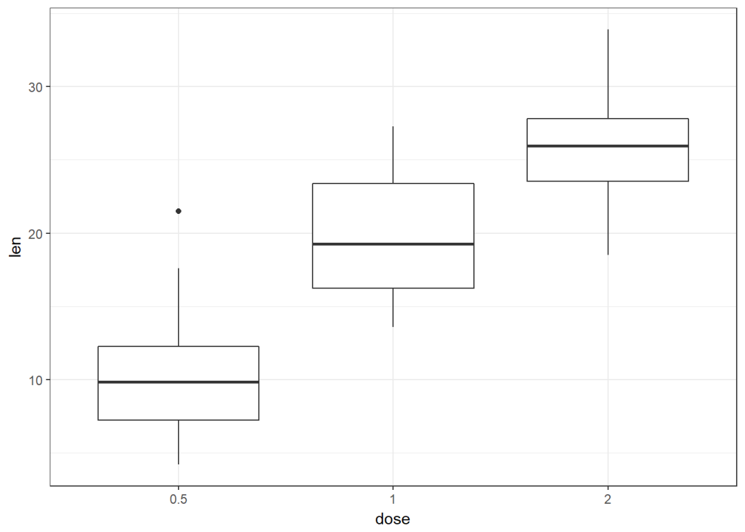
e+geom_boxplot(aes(fill=dose))
按supp进行分类并映射给填充颜色
ggplot(ToothGrowth, aes(x=dose, y=len))+ geom_boxplot(aes(fill=supp))e+geom_violin(trim = FALSE)
添加中值点
e+geom_violin(trim = FALSE)+ stat_summary(fun.data = mean_sdl, fun.args = list(mult=1), geom="pointrange", color="red")
与箱线图结合
e+geom_violin(trim = FALSE)+ geom_boxplot(width=0.2)
将dose映射给颜色进行分组
e+geom_violin(aes(color=dose), trim = FALSE)e+geom_dotplot(binaxis = "y", stackdir = "center")
添加中值点
e + geom_dotplot(binaxis = "y", stackdir = "center") + stat_summary(fun.data=mean_sdl, color = "red",geom = "pointrange",fun.args=list(mult=1))
与箱线图结合
e + geom_boxplot() + geom_dotplot(binaxis = "y", stackdir = "center")
添加小提琴图
e + geom_violin(trim = FALSE) + geom_dotplot(binaxis='y', stackdir='center')
将dose映射给颜色以及填充色
e + geom_dotplot(aes(color = dose, fill = dose), binaxis = "y", stackdir = "center")带状图是一种一维散点图,当样本量很小时,与箱线图相当
e + geom_jitter(position=position_jitter(0.2))
添加中值点
e + geom_jitter(position=position_jitter(0.2)) + stat_summary(fun.data="mean_sdl", fun.args = list(mult=1), geom="pointrange", color = "red")
与点图结合
e + geom_jitter(position=position_jitter(0.2)) + geom_dotplot(binaxis = "y", stackdir = "center")
与小提琴图结合
e + geom_violin(trim = FALSE) + geom_jitter(position=position_jitter(0.2))
将dose映射给颜色和形状
e + geom_jitter(aes(color = dose, shape = dose), position=position_jitter(0.2))#构造数据集 df <- data.frame(supp=rep(c("VC", "OJ"), each=3), dose=rep(c("D0.5", "D1", "D2"),2), len=c(6.8, 15, 33, 4.2, 10, 29.5)) head(df)## supp dose len ## 1 VC D0.5 6.8 ## 2 VC D1 15.0 ## 3 VC D2 33.0 ## 4 OJ D0.5 4.2 ## 5 OJ D1 10.0 ## 6 OJ D2 29.5将supp映射线型
ggplot(df, aes(x=dose, y=len, group=supp)) + geom_line(aes(linetype=supp))+ geom_point()
修改线型、点的形状以及颜色
ggplot(df, aes(x=dose, y=len, group=supp)) + geom_line(aes(linetype=supp, color = supp))+ geom_point(aes(shape=supp, color = supp))#构造数据集 df <- data.frame(dose=c("D0.5", "D1", "D2"), len=c(4.2, 10, 29.5)) head(df)## dose len ## 1 D0.5 4.2 ## 2 D1 10.0 ## 3 D2 29.5df2 <- data.frame(supp=rep(c("VC", "OJ"), each=3), dose=rep(c("D0.5", "D1", "D2"),2), len=c(6.8, 15, 33, 4.2, 10, 29.5)) head(df2)## supp dose len ## 1 VC D0.5 6.8 ## 2 VC D1 15.0 ## 3 VC D2 33.0 ## 4 OJ D0.5 4.2 ## 5 OJ D1 10.0 ## 6 OJ D2 29.5创建图层
f <- ggplot(df, aes(x = dose, y = len)) f + geom_bar(stat = "identity")
修改填充色以及添加标签
f + geom_bar(stat="identity", fill="steelblue")+ geom_text(aes(label=len), vjust=-0.3, size=3.5)+ theme_minimal()
将dose映射给条形图颜色
f + geom_bar(aes(color = dose), stat="identity", fill="white")
修改填充色
f + geom_bar(aes(fill = dose), stat="identity")
将变量supp映射给填充色,从而达到分组效果
g <- ggplot(data=df2, aes(x=dose, y=len, fill=supp)) g + geom_bar(stat = "identity")#position默认为stack
修改position为dodge
g + geom_bar(stat="identity", position=position_dodge())使用数据集diamonds中的两个离散变量color以及cut
ggplot(diamonds, aes(cut, color)) + geom_jitter(aes(color = cut), size = 0.5)df <- ToothGrowth df$dose <- as.factor(df$dose) head(df)## len supp dose ## 1 4.2 VC 0.5 ## 2 11.5 VC 0.5 ## 3 7.3 VC 0.5 ## 4 5.8 VC 0.5 ## 5 6.4 VC 0.5 ## 6 10.0 VC 0.5绘制误差图需要知道均值以及标准误,下面这个函数用来计算每组的均值以及标准误。
data_summary <- function(data, varname, grps){ require(plyr) summary_func <- function(x, col){ c(mean = mean(x[[col]], na.rm=TRUE), sd = sd(x[[col]], na.rm=TRUE)) } data_sum<-ddply(data, grps, .fun=summary_func, varname) data_sum <- rename(data_sum, c("mean" = varname)) return(data_sum) }计算均值以及标准误
df2 <- data_summary(df, varname="len", grps= "dose") # Convert dose to a factor variable df2$dose=as.factor(df2$dose) head(df2)## dose len sd ## 1 0.5 10.605 4.499763 ## 2 1 19.735 4.415436 ## 3 2 26.100 3.774150创建图层
f <- ggplot(df2, aes(x = dose, y = len, ymin = len-sd, ymax = len+sd))可添加的图层有:
geom_crossbar(): 空心柱,上中下三线分别代表ymax、mean、ymin
geom_errorbar(): 误差棒
geom_errorbarh(): 水平误差棒
geom_linerange():竖直误差线
geom_pointrange():中间为一点的误差线
具体如下:
f+geom_crossbar()
将dose映射给颜色
f+geom_crossbar(aes(color=dose))
自定义颜色
f+geom_crossbar(aes(color=dose))+ scale_color_manual(values = c("#999999", "#E69F00", "#56B4E9"))+theme_classic()
修改填充色
f+geom_crossbar(aes(fill=dose))+ scale_fill_manual(values = c("#999999", "#E69F00", "#56B4E9"))+ theme_classic()
通过将supp映射给颜色实现分组,可以利用函数stat_summary()来计算mean和sd
f <- ggplot(df, aes(x=dose, y=len, color=supp)) f+stat_summary(fun.data = mean_sdl, fun.args = list(mult=1), geom="crossbar", width=0.6, position = position_dodge(0.8))f <- ggplot(df2, aes(x=dose, y=len, ymin=len-sd, ymax=len+sd))将dose映射给颜色
f+geom_errorbar(aes(color=dose), width=0.2)
与线图结合
f+geom_line(aes(group=1))+ geom_errorbar(width=0.15)
与条形图结合,并将变量dose映射给颜色
f+geom_bar(aes(color=dose), stat = "identity", fill="white")+ geom_errorbar(aes(color=dose), width=0.1)#构造数据集 df2 <- data_summary(ToothGrowth, varname="len", grps = "dose") df2$dose <- as.factor(df2$dose) head(df2)## dose len sd ## 1 0.5 10.605 4.499763 ## 2 1 19.735 4.415436 ## 3 2 26.100 3.774150创建图层
f <- ggplot(data = df2, aes(x=len, y=dose,xmin=len-sd, xmax=len+sd))参数xmin与xmax用来设置水平误差棒
f+geom_errorbarh()
通过映射实现分组
f+geom_errorbarh(aes(color=dose))f <- ggplot(df2, aes(x=dose, y=len, ymin=len-sd, ymax=len+sd))line range
f+geom_linerange()
point range
f+geom_pointrange()g <- ggplot(df, aes(x=dose, y=len))+ geom_dotplot(binaxis = "y", stackdir = "center")添加geom_crossbar()
g+stat_summary(fun.data = mean_sdl, fun.args = list(mult=1), geom="crossbar", color="red", width=0.1)
添加geom_errorbar()
g + stat_summary(fun.data=mean_sdl, fun.args = list(mult=1), geom="errorbar", color="red", width=0.2) + stat_summary(fun.y=mean, geom="point", color="red")
添加geom_pointrange()
g + stat_summary(fun.data=mean_sdl, fun.args = list(mult=1), geom="pointrange", color="red")ggplot2提供了绘制地图的函数geom_map(),依赖于包maps提供地理信息。
安装map
install.paclages("maps")下面将绘制美国地图,数据集采用USArrests
library(maps) head(USArrests)## Murder Assault UrbanPop Rape ## Alabama 13.2 236 58 21.2 ## Alaska 10.0 263 48 44.5 ## Arizona 8.1 294 80 31.0 ## Arkansas 8.8 190 50 19.5 ## California 9.0 276 91 40.6 ## Colorado 7.9 204 78 38.7对数据进行整理一下,添加一列state
crimes <- data.frame(state=tolower(rownames(USArrests)), USArrests) head(crimes)## Murder Assault UrbanPop Rape ## Alabama 13.2 236 58 21.2 ## Alaska 10.0 263 48 44.5 ## Arizona 8.1 294 80 31.0 ## Arkansas 8.8 190 50 19.5 ## California 9.0 276 91 40.6 ## Colorado 7.9 204 78 38.7#数据重铸 library(reshape2) crimesm <- melt(crimes, id=1) head(crimesm)## state variable value ## 1 alabama Murder 13.2 ## 2 alaska Murder 10.0 ## 3 arizona Murder 8.1 ## 4 arkansas Murder 8.8 ## 5 california Murder 9.0 ## 6 colorado Murder 7.9map_data <- map_data("state") #绘制地图,使用Murder进行着色 ggplot(crimes, aes(map_id=state))+ geom_map(aes(fill=Murder), map=map_data)+ expand_limits(x=map_data$long, y=map_data$lat)使用数据集mtcars,首先绘制一个相关性图
#构造数据 df <- mtcars[, c(1,3,4,5,6,7)] head(df)## mpg disp hp drat wt qsec ## Mazda RX4 21.0 160 110 3.90 2.620 16.46 ## Mazda RX4 Wag 21.0 160 110 3.90 2.875 17.02 ## Datsun 710 22.8 108 93 3.85 2.320 18.61 ## Hornet 4 Drive 21.4 258 110 3.08 3.215 19.44 ## Hornet Sportabout 18.7 360 175 3.15 3.440 17.02 ## Valiant 18.1 225 105 2.76 3.460 20.22cormat <- round(cor(df), 2) cormat_melt <- melt(cormat) head(cormat)## mpg disp hp drat wt qsec ## mpg 1.00 -0.85 -0.78 0.68 -0.87 0.42 ## disp -0.85 1.00 0.79 -0.71 0.89 -0.43 ## hp -0.78 0.79 1.00 -0.45 0.66 -0.71 ## drat 0.68 -0.71 -0.45 1.00 -0.71 0.09 ## wt -0.87 0.89 0.66 -0.71 1.00 -0.17 ## qsec 0.42 -0.43 -0.71 0.09 -0.17 1.00创建图层:
g <- ggplot(cormat_melt, aes(x=Var1, y=Var2))在此基础上可添加的图层有:
geom_tile(): 瓦片图
geom_raster(): 光栅图,瓦片图的一种,只不过所有的tiles都是一样的大小
现在使用使用geom_tile()绘制相关性矩阵图,我们这里这绘制下三角矩阵图,首先要整理数据:
#获得相关矩阵的下三角 get_lower_tri <- function(cormat){ cormat[upper.tri(cormat)] <- NA return(cormat) } #获得相关矩阵的上三角 get_upper_tri <- function(cormat){ cormat[lower.tri(cormat)] <- NA return(cormat) } upper_tri <- get_upper_tri(cormat = cormat) head(upper_tri)## mpg disp hp drat wt qsec ## mpg 1 -0.85 -0.78 0.68 -0.87 0.42 ## disp NA 1.00 0.79 -0.71 0.89 -0.43 ## hp NA NA 1.00 -0.45 0.66 -0.71 ## drat NA NA NA 1.00 -0.71 0.09 ## wt NA NA NA NA 1.00 -0.17 ## qsec NA NA NA NA NA 1.00绘制相关矩阵图
#数据重铸 upper_tri_melt <- melt(upper_tri, na.rm = TRUE) ggplot(data=upper_tri_melt, aes(Var1, y=Var2, fill=value))+ geom_tile(color="white")+ scale_fill_gradient2(low = "blue", high = "red", mid = "white", midpoint = 0, limit=c(-1, 1), space = "Lab", name="Person\nCorrelation")+ theme_minimal()+ theme(axis.text.x = element_text(angle = 45, vjust = 1, size = 12, hjust = 1))+ coord_fixed()上图中蓝色代表互相关,红色代表正相关,至于coord_fixed()保证x,y轴比例为1
可以看出上图顺序有点乱,我们可以对相关矩阵进行排序
#构造函数 reorder_cormat <- function(cormat){ dd <- as.dist((1-cormat)/2) hc <- hclust(dd) cormat <- cormat[hc$order, hc$order] } cormat <- reorder_cormat(cormat) lower_tri <- get_lower_tri(cormat) lower_tri_melt <- melt(lower_tri, na.rm = TRUE) head(lower_tri_melt)## Var1 Var2 value ## 1 hp hp 1.00 ## 2 disp hp 0.79 ## 3 wt hp 0.66 ## 4 qsec hp -0.71 ## 5 mpg hp -0.78 ## 6 drat hp -0.45绘制图形
ggheatmap <- ggplot(lower_tri_melt, aes(Var1, Var2, fill=value))+ geom_tile(color="white")+ scale_fill_gradient2(low = "blue", high = "red", mid = "white", midpoint = 0, limit=c(-1, 1), space = "Lab", name="Person\nCorrelation")+ theme_minimal()+ theme(axis.text.x = element_text(angle = 45, vjust = 1, size = 12, hjust = 1))+ coord_fixed() print(ggheatmap)本节主要讲述的是添加图形元件,将用到一下函数:
geom_polygon():添加多边形
geom_path(): 路径
geom_ribbon(): 带状
geom_segment(): 射线、线段
geom_curve(): 曲线
geom_rect(): 二维矩形
library(dplyr) map_data("world")%>% filter(region==c("China", "Taiwan"))%>% ggplot(aes(x=long, y=lat, group=group))+ geom_polygon(fill="red", color="black")创建图层
h <- ggplot(economics, aes(date, unemploy))添加路径
h+geom_path()
添加带状
h+geom_ribbon(aes(ymin=unemploy-800, ymax=unemploy+800), fill = "grey70")+geom_line(aes(y=unemploy))
添加矩形
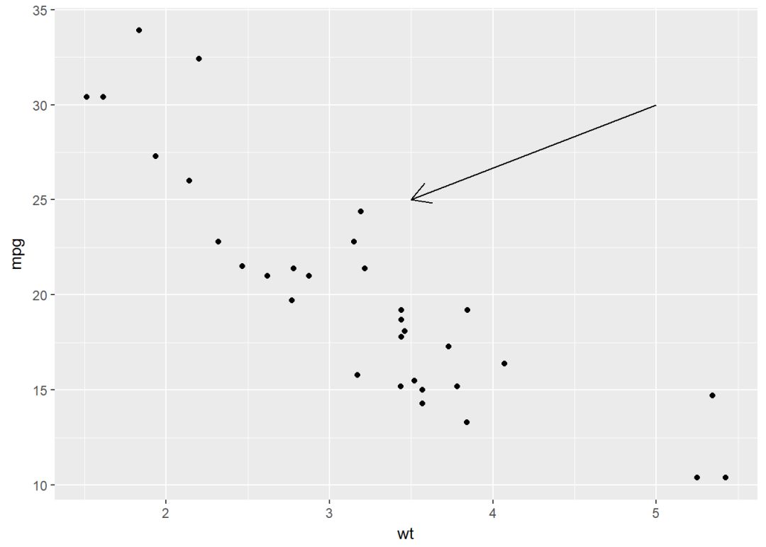
h+ geom_path()+ geom_rect(aes(xmin=as.Date("1980-01-01"), ymin=-Inf, xmax=as.Date("1985-01-01"), ymax=Inf), fill="steelblue")i <- ggplot(mtcars, aes(wt, mpg))+geom_point() #添加线段 i+geom_segment(aes(x=2, y=15, xend=3, yend=15))
添加箭头
i+geom_segment(aes(x=5, y=30, xend=3.5, yend=25), arrow = arrow(length = unit(0.5, "cm")))i+geom_curve(aes(x=2, y=15, xend=3, yend=15), color="red")创建图层
ToothGrowth$dose <- as.factor(ToothGrowth$dose) p <- ggplot(ToothGrowth, aes(x=dose, y=len))+geom_boxplot()修改标题以及标签的函数有:
ggtitle(“New main title”): 添加主标题
xlab(“New X axis label”): 修改x轴标签
ylab(“New Y axis label”): 修改y轴标签
labs(title = “New main title”, x = “New X axis label”, y = “New Y axis label”): 可同时添加主标题以及坐标轴标签,另外,图例标题也可以用此函数修改
(p <- p+labs(title="Plot of length\nby dose", x="Dose (mg)", y="teeth length"))使用theme()修改,element_text()可以具体修改图形参数,element_blank()隐藏标签
#修改标签 p+theme( plot.title = element_text(color = "red", size = 14, face = "bold.italic"), axis.title.x = element_text(color="blue", size = 14, face = "bold"), axis.title.y = element_text(color="#993333", size = 14, face = "bold") )#隐藏标签 p+theme( plot.title = element_blank(), axis.title.x = element_blank(), axis.title.y = element_blank() )p <- ggplot(ToothGrowth, aes(x=dose, y=len, fill=dose))+ geom_boxplot() p#修改图例标题 p+labs(fill="Dose (mg)")#图例位置在最上面,有五个选项:"left","top", "right", "bottom", "none" p+theme(legend.position = "top")
移除图例
p+theme(legend.position = "none")
修改图例标题以及标签外观
p+theme( legend.title = element_text(color="blue"), legend.text = element_text(color="red") )
修改图例背景
p+theme(legend.background = element_rect(fill="lightblue"))主要两个函数:
scale_x_discrete():修改图例标签顺序
scale_fill_discrete(): 修改图例标题以及标签
#修改顺序 p+scale_x_discrete(limits=c("2", "0.5", "1"))#修改标题以及标签 p+scale_fill_discrete(name="Dose", label=c("A","B","C"))mtcars$cyl <- as.factor(mtcars$cyl)创建图层
# boxplot bp <- ggplot(ToothGrowth, aes(x=dose, y=len)) # scatter plot sp <- ggplot(mtcars, aes(x=wt, y=mpg))bp+geom_boxplot(fill="steelblue", color="red")sp+geom_point(color="darkblue")(bp <- bp+geom_boxplot(aes(fill=dose)))(sp <- sp+geom_point(aes(color=cyl)))主要两个函数:
scale_fill_manual(): 填充色
scale_color_manual():轮廓色,如点线
# Box plot bp + scale_fill_manual(values=c("#999999", "#E69F00", "#56B4E9"))# Scatter plot sp + scale_color_manual(values=c("#999999", "#E69F00", "#56B4E9"))scale_fill_brewer(): 填充色
scale_color_brewer():轮廓色,如点线
# Box plot bp + scale_fill_brewer(palette="Dark2")# Scatter plot sp + scale_color_brewer(palette="Dark2")
RColorBrewer包提供以下调色板
还专门有一个灰度调色板:
# Box plot bp + scale_fill_grey() + theme_classic()# Scatter plot sp + scale_color_grey() + theme_classic()有时我们会将某个连续变量映射给颜色,这时修改这种梯度或连续型颜色就可以使用以下函数:
scale_color_gradient(), scale_fill_gradient():两种颜色的连续梯度
scale_color_gradient2(), scale_fill_gradient2():不同梯度
scale_color_gradientn(), scale_fill_gradientn():多种颜色梯度
# Color by qsec values sp2<-ggplot(mtcars, aes(x=wt, y=mpg)) + geom_point(aes(color = qsec)) sp2# Change the low and high colors # Sequential color scheme sp2+scale_color_gradient(low="blue", high="red")# Diverging color scheme mid<-mean(mtcars$qsec) sp2+scale_color_gradient2(midpoint=mid, low="blue", mid="white", high="red", space = "Lab" )R提供的点形状是由数字表示的,具体如下:
# Basic scatter plot ggplot(mtcars, aes(x=wt, y=mpg)) + geom_point(shape = 18, color = "steelblue", size = 4)# Change point shapes and colors by groups ggplot(mtcars, aes(x=wt, y=mpg)) + geom_point(aes(shape = cyl, color = cyl))
可通过以下方法对点的颜色、大小、形状进行修改:
scale_shape_manual() : to change point shapes
scale_color_manual() : to change point colors
scale_size_manual() : to change the size of points
# Change colors and shapes manually ggplot(mtcars, aes(x=wt, y=mpg, group=cyl)) + geom_point(aes(shape=cyl, color=cyl), size=2)+ scale_shape_manual(values=c(3, 16, 17))+ scale_color_manual(values=c('#999999','#E69F00', '#56B4E9'))+ theme(legend.position="top")对图形进行文本注释有以下方法:
geom_text(): 文本注释
geom_label(): 文本注释,类似于geom_text(),只是多了个背景框
annotate(): 文本注释
annotation_custom(): 分面时可以在所有的面板进行文本注释
set.seed(1234) df <- mtcars[sample(1:nrow(mtcars), 10), ] df$cyl <- as.factor(df$cyl)散点图注释
# Scatter plot sp <- ggplot(df, aes(x=wt, y=mpg))+ geom_point() # Add text, change colors by groups sp + geom_text(aes(label = rownames(df), color = cyl), size = 3, vjust = -1)# Add text at a particular coordinate sp + geom_text(x = 3, y = 30, label = "Scatter plot", color="red")# geom_label()进行注释 sp + geom_label(aes(label=rownames(df)))# annotation_custom(),需要用到textGrob() library(grid) # Create a text grob <- grobTree(textGrob("Scatter plot", x=0.1, y=0.95, hjust=0, gp=gpar(col="red", fontsize=13, fontface="italic"))) # Plot sp + annotation_custom(grob)#分面注释 sp + annotation_custom(grob)+facet_wrap(~cyl, scales="free")R里的线型有七种:“blank”, “solid”, “dashed”, “dotted”, “dotdash”, “longdash”, “twodash”,对应数字0,1,2,3,4,5,6.
具体如下:
# Create some data df2 <- data.frame(sex = rep(c("Female", "Male"), each=3), time=c("breakfeast", "Lunch", "Dinner"), bill=c(10, 30, 15, 13, 40, 17) ) head(df2)## sex time bill ## 1 Female breakfeast 10 ## 2 Female Lunch 30 ## 3 Female Dinner 15 ## 4 Male breakfeast 13 ## 5 Male Lunch 40 ## 6 Male Dinner 17# Line plot with multiple groups # Change line types and colors by groups (sex) ggplot(df2, aes(x=time, y=bill, group=sex)) + geom_line(aes(linetype = sex, color = sex))+ geom_point(aes(color=sex))+ theme(legend.position="top")
同点一样,线也可以类似修改:
scale_linetype_manual() : to change line types
scale_color_manual() : to change line colors
scale_size_manual() : to change the size of lines
# Change line types, colors and sizes ggplot(df2, aes(x=time, y=bill, group=sex)) + geom_line(aes(linetype=sex, color=sex, size=sex))+ geom_point()+ scale_linetype_manual(values=c("twodash", "dotted"))+ scale_color_manual(values=c('#999999','#E69F00'))+ scale_size_manual(values=c(1, 1.5))+ theme(legend.position="top")# Convert the column dose from numeric to factor variable ToothGrowth$dose <- as.factor(ToothGrowth$dose)创建箱线图
p <- ggplot(ToothGrowth, aes(x=dose, y=len))+ geom_boxplot()修改主题
ggplot2提供了好几种主题,另外有一个扩展包ggthemes专门提供了一主题,可以安装利用。
install.packages("ggthemes")theme_gray(): gray background color and white grid lines
theme_bw() : white background and gray grid lines
p+theme_gray(base_size = 14)p+theme_bw()theme_linedraw : black lines around the plot
theme_light : light gray lines and axis (more attention towards the data)
p + theme_linedraw()p + theme_light()theme_minimal: no background annotations
theme_classic : theme with axis lines and no grid lines
p + theme_minimal()p + theme_classic()
ggthemes提供的主题
p+ggthemes::theme_economist()p <- ggplot(cars, aes(x=speed, y=dist))+geom_point()修改坐标轴范围有以下几种方式:
1、不删除数据
p+coord_cartesian(xlim=c(5, 20), ylim=c(0, 50)):笛卡尔坐标系,这是设定修改不会删除数据
2、会删除部分数据:不在此范围内的数据都会被删除,因此在此基础上添加图层时数据是不完整的
p+xlim(5, 20)+ylim(0, 50)
p+scale_x_continuous(limits=c(5, 20))+scale_y_continuous(limits=c(0, 50))
3、扩展图形范围:expand()函数,扩大范围
p+expand_limits(x=0, y=0):设置截距为0,即过原点
p+expand_limits(x=c(5, 50), y=c(0, 150)):扩大坐标轴范围,这样图形显示就小了
下面通过图形演示
p#通过coord_cartesian()函数修改坐标轴范围 p+coord_cartesian(xlim =c (5, 20), ylim = c(0, 50))#通过xlim()和ylim()函数修改 p+xlim(5, 20)+ylim(0, 50)#expand limits p+expand_limits(x=c(5, 50), y=c(0, 150))p <- ggplot(cars, aes(x=speed, y=dist))+geom_point()坐标变换有以下几种:
p+scale_x_log10(),p+scale_y_log10(): 绘图时对x,y取10的对数
p+scale_x_sqrt(),p+scale_x_sqrt(): 开根号
p+scale_x_reverse(),p+scale_x_reverse():坐标轴反向
p+coord_trans(x =“log10”, y=“log10”): 同上,可以对坐标轴取对数、根号等
p+scale_x_continuous(trans=”log2”),p+scale_x_continuous(trans=”log2”): 同上,取对数的另外一种方法
下面实例演示:
pp+scale_x_continuous(trans = "log2")+ scale_y_continuous(trans = "log2")#修改坐标刻度标签 require(scales) p+scale_y_continuous(trans=log2_trans(), breaks = trans_breaks("log2", function(x) 2^x), labels=trans_format("log2", math_format(2^.x)))#坐标轴反向 p+scale_y_reverse()更改坐标轴刻度线标签等函数:
element_text(face, color, size, angle): 修改文本风格
element_blank(): 隐藏文本
(p <- ggplot(ToothGrowth, aes(x=dose, y=len))+geom_boxplot())
修改刻度标签等
p+theme(axis.text.x = element_text(face = "bold", color="#993333", size=14, angle = 45), axis.text.y = element_text(face = "bold", size = 14, color = "blue", angle = 45))
移除刻度标签等
p + theme( axis.text.x = element_blank(), # Remove x axis tick labels axis.text.y = element_blank(), # Remove y axis tick labels axis.ticks = element_blank()) # Remove ticks
当然可以自定义坐标轴了
离散非连续坐标轴
scale_x_discrete(name, breaks, labels, limits)
scale_y_discrete(name, breaks, labels, limits)
连续型坐标轴
scale_x_conyinuous(name, breaks, labels, limits)
scale_y_continuous(name, breaks, labels, limits)
详细情况如下:
name: x,y轴的标题
breaks: 刻度,分成几段
labels:坐标轴刻度线标签
limits: 坐标轴范围
其中scale_xx()函数可以修改坐标轴的如下参数:
坐标轴标题
坐标轴范围
刻度标签位置
手动设置刻度标签
具体演示:
离散坐标轴
#修改标签以及顺序 p+scale_x_discrete(name="Dose (mg)", limits=c("2", "1", "0.5"))#修改刻度标签 p+scale_x_discrete(breaks=c("0.5", "1", "2"),labels=c("Dose 0.5", "Dose 1", "Dose 2"))#修改要显示的项 p+scale_x_discrete(limits=c("0.5", "2"))连续型坐标轴
#散点图 (sp <- ggplot(cars, aes(x=speed, y=dist))+geom_point())
修改坐标轴标签以及范围
(sp <- sp+scale_x_continuous(name = "Speed of cars", limits = c(0, 30))+ scale_y_continuous(name = "Stopping distance", limits = c(0, 150)))
更改y轴刻度,间隔50
sp+scale_y_continuous(breaks = seq(0, 150, 50))
修改y轴标签为百分数
require(scales) sp+scale_y_continuous(labels = percent)ggplot2提供以下方法为图形添加直线:
geom_hline(yintercept, linetype, color, size): 添加水平线
geom_vline(xintercept, linetype, color, size):添加竖直线
geom_abline(intercept, slope, linetype, color, size):添加回归线
geom_segment():添加线段
实例演示:
sp <- ggplot(data=mtcars, aes(x=wt, y=mpg))+ geom_point()添加直线:
#在y=20处添加一水平线,并设置颜色等 sp+geom_hline(yintercept = 20, linetype="dashed", color='red')#在x=3处添加一竖直线,并设置颜色等 sp+geom_vline(xintercept = 3, color="blue", size=1.5)#添加回归线 sp+geom_abline(intercept = 37, slope = -5, color="blue")#添加水平线段 sp+geom_segment(aes(x=2, y=15, xend=3, yend=15), color="red")主要是下面两个函数:
coord_flip():创建水平方向图
scale_x_reverse(),scale_y_reverse():坐标轴反向
set.seed(1234) (hp <- qplot(x=rnorm(200), geom = "histogram"))#水平柱形图 hp+coord_flip()#y轴反向 hp+scale_y_reverse()分面就是根据一个或多个变量将图形分为几个图形以便于可视化,主要有两个方法实现:
facet_grid()
facet_wrap()
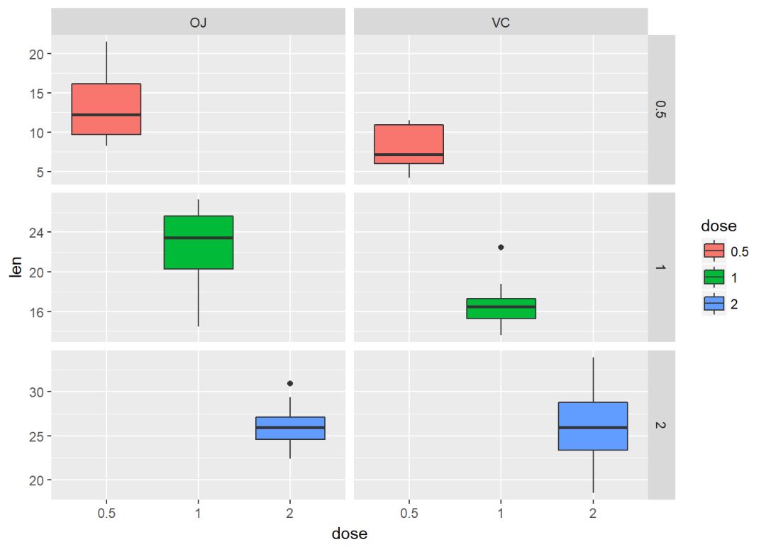
ToothGrowth$dose <- as.factor(ToothGrowth$dose) (p <- ggplot(ToothGrowth, aes(x=dose, y=len, group=dose))+ geom_boxplot(aes(fill=dose)))
针对上面图形进行分面:
p+facet_grid(supp~.): 按变量supp进行竖直方向分面
p+facet_grid(.~supp): 按变量supp进行水平方向分面
p+facet_wrap(dose~supp):按双变量supp和dose进行水平竖直方向分面
p+facet_wrap(~fl): 将分成的面板边靠边置于一个矩形框内
1、按一个离散变量进行分面:
#竖直方向进行分面 p+facet_grid(supp~.)#水平方向分面 p+facet_grid(.~supp)
2、按两个离散变量进行分面
#行按dose分面,列按supp分面 p+facet_grid(dose~supp)#行按supp,列按dose分面 p+facet_grid(supp~dose)
从上面图形可以看出,每个面板的坐标轴比例都是一样的,我们可以通过设置参数scales来控制坐标轴比例
p + facet_grid(dose ~ supp, scales='free')很多图形需要我们调整位置,比如直方图时,由堆叠式、百分式、分离式等,具体的要通过实例说明
p <- ggplot(mpg, aes(fl, fill=drv)) #直方图边靠边排列,参数position="dodge" p+geom_bar(position = "dodge")
堆叠式position=”stack”
p+geom_bar(position = "stack")
position=”fill”类似玉堆叠图,只不过按百分比排列,所有柱子都被标准化成同样高度
p+geom_bar(position = "fill")
position=”jitter”,(主要适用于散点图)增加扰动,避免重叠,前面讲的geom_jitter()就是来源于此
ggplot(mpg, aes(cty, hwy))+ geom_point(position = "jitter")
上面几个函数有两个重要的参数:heigth、weight。
position_dodge(width, height)
position_fill(width, height)
position_stack(width, height)
position_jitter(width, height)
p+geom_bar(position = position_dodge(width = 1))p <- ggplot(mpg, aes(fl))+geom_bar()ggplot2中的坐标系主要有:
p+coord_cartesian(xlim=NULL, ylim=NULL):笛卡尔坐标系(默认)
p+coord_fixed(ratio=1, clim=NULL, ylim=NULL):固定了坐标轴比例的笛卡尔坐标系。默认比例为1
p+coord_flip(…):旋转笛卡尔坐标系
p+coord_polar(theta=”x”, start=0, direction=1):极坐标系
p+coord_trans(x,y,limx,limy):变换笛卡尔坐标系
coord_map():地图坐标系
各个坐标系参数如下:
1、笛卡尔坐标系:coord_cartesian(), coord_fixed() and coord_flip()
xlim:x轴范围
ylim:y轴范围
ratio:y/x
…:其他参数
2、极坐标系:coord_polar()
theta:外延坐标,x或y
start:坐标开始的位置,默认为12点钟
direction:方向:顺时针(1),逆时针(-1)
3、变换坐标系:coord_trans()
x,y:变换的坐标轴
limx,limy:坐标轴范围
实例演示:
p+coord_cartesian(ylim = c(0,200))p+coord_fixed(ratio = 1/50)p+coord_flip()p+coord_polar(theta = "x", direction = 1)p+coord_trans(y="sqrt")R语言基础系列:
交集intersect、并集union、找不同setdiff
ggplot2绘图基础系列:
高级统计绘图:
Alpha多样性稀释曲线rarefraction curve
随机森林randomForest 分类Classification 回归Regression
鼠标点点绘图系列
如果觉得我的文章对您有用,请随意打赏。你的支持将鼓励我继续创作!
