GSE31079 通过GEO数据软件转换后再用DES软件分析出错

GSE31079 通过GEO数据软件转换后得到两个文件


attachments-2017-11-tta1FqZX5a180b4168550.png

SampleInfo文件内容如下图:”

attachments-2017-11-ajj7JULJ5a180b82ae342.png

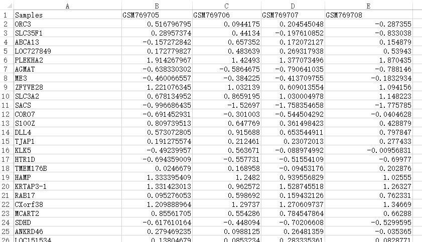
Merge_GPL6480.expro文件的内容如下图:attachments-2017-11-W0VOefTf5a180baa6128c.png

然后通过DES软件分析,报错,不知哪里出了问题,因为R软件早就装好了,可以打开,请老师帮忙一下,谢谢!

attachments-2017-11-dU5pcJBa5a180b6bdc31e.pngattachments-2017-11-tta1FqZX5a180b4168550.png

请先 登录 后评论

1 个回答

祝让飞 - 生物信息工程师

你的工具盒目录是不是有中文,或者路径中有空格之类的字符,建议将小工具放到根目录下

请先 登录 后评论
  • 1 关注
  • 0 收藏,3053 浏览
  • 浪淘沙 提出于 2017-11-24 20:09

相似问题