看教程不够直观,那就看视频吧! >>点击加载视频
作者刻画了结直肠癌(CRC)的免疫表型和抗原基因组特征,描绘了肿瘤和免疫细胞的关系,试图揭示肿瘤的逃逸机制并寻找免疫治疗的biomarker。
思路导图:
数据来源:作者利用TCGA中结直肠癌的转录组数据来预测肿瘤浸润的淋巴细胞。利用突变联合转录组数据来预测新抗原,并标记了每位患者的微卫星不稳定状态、甲基化状态等作为其分子表型。
一. 结直肠癌肿瘤浸润的淋巴细胞亚群(TILs)可以反映分子表型
1. 结直肠癌瘤内浸润的适应性免疫细胞有:效应记忆CD4+,CD8+,未成熟的B细胞,Th1细胞;固有免疫细胞包括:活性DCs, MDSCs,巨噬细胞。
2. 肿瘤免疫细胞浸润细胞关联不同的分子表型。
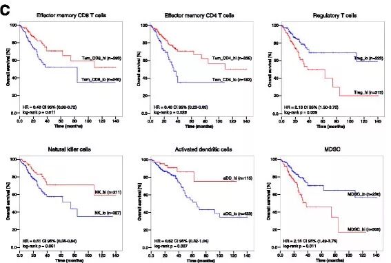
二. 肿瘤进展过程中的免疫表型
1.利用cox单因素、多因素回归方法,寻找与预后相关的免疫浸润signature,且这些免疫浸润的signature可以对OS,DFS具有准确的预后作用。
三. 结直肠癌抗原的定量分析
1. 胚系抗原的数目和表达水平在基因组不稳定状态、突变负荷、表观状态、TILs富集状态的环境下变化不大,而新抗原的数目和表达水平在上述环境下差异非常强。
2. 伴随着肿瘤的进化,肿瘤的抗原数目逐渐减少,适应性免疫应答削弱,固有免疫增强。
四. 肿瘤的遗传特征决定了肿瘤的逃逸机制
1.利用ABSOLUTE和Pyclone方法评估肿瘤异质性,发现MSS-H组患者瘤内异质性最强,有最高的新抗原比例。将MSS患者分为四个组 其中同源性较强的Cluster(1,2)比异质性较强的Cluster(3,4)患者生存效果更好。
2. 刻画不同分组下的免疫浸润亚群。在高突变组肿瘤中(MSI-H,MSS^)缺乏Tregs和MDSCs,而在MSS组,Tregs(Cluster1)或MDSC(cluster2-4)富集。
3.刻画不同分组下的免疫调节基因。高突变组的肿瘤免疫抑制基因上调,缺乏免疫免疫抑制细胞浸润。非高突变肿瘤(MSS)免疫抑制细胞富集,免疫抑制基因表达下调。
五. 构建TIL和免疫调节基因的互作网络,寻找候选的免疫治疗靶点
1.将已知的免疫激动剂或拮抗剂分子与免疫浸润细胞相结合,构建互作网络,并关联TCGA预后数据,筛选出影响生存的分子。
2.为了验证这些候选结果与预后的关系,在GEO数据库中下载了11个芯片研究,1945个样本数据进行验证。
六. 线性回归模型识别结直肠癌中肿瘤免疫原性的主要决定因子
纳入了可能影响肿瘤免疫原性的所有因素(外在因素和内在因素),利用线性回归的方法构建模型,采用Lasso方法确定模型的决定因素。发现MDSCs, Tregs, CD86/B7-2, CCR8, CXCR5, and PD-L2都是影响免疫原性的主要因素。其中CCR8是本研究中新发现在潜在决定因子。其特点为:在转移肿瘤中下调;具有CCR8胚系突变的患者有较差的生存。TCGA数据中CCR8的表达与好的预后相关。
Ref: Angelova M, Charoentong P, Hackl H, et al. Characterization of the immunophenotypes and antigenomes of colorectal cancers reveals distinct tumor escape mechanisms and novel targets for immunotherapy[J]. Genome biology, 2015, 16(1): 64.
如果觉得我的文章对您有用,请随意打赏。你的支持将鼓励我继续创作!
